The present book is intended, as far as possible, to give an exact insight into
the theory of Relativity to those readers who, from a general scientific and
philosophical point of view, are interested in the theory, but who are not
conversant with the mathematical apparatus of theoretical physics. The work
presumes a standard of education corresponding to that of a university
matriculation examination, and, despite the shortness of the book, a fair amount
of patience and force of will on the part of the reader. The author has spared
himself no pains in his endeavour to present the main ideas in the simplest and
most intelligible form, and on the whole, in the sequence and connection in
which they actually originated. In the interest of clearness, it appeared to me
inevitable that I should repeat myself frequently, without paying the slightest
attention to the elegance of the presentation. I adhered scrupulously to the
precept of that brilliant theoretical physicist L. Boltzmann, according to whom
matters of elegance ought to be left to the tailor and to the cobbler. I make no
pretense of having withheld from the reader difficulties which are inherent to
the subject. On the other hand, I have purposely treated the empirical physical
foundations of the theory in a "step-motherly" fashion, so that readers
unfamiliar with physics may not feel like the wanderer who was unable to see the
forest for the trees. May the book bring some onea
few happy hours of suggestive thought!
December, 1916
A. EINSTEIN
Part I
The Special Theory of Relativity
Section 1
Physical Meaning of Geometrical Propositions
In your schooldays most of you who read this book made acquaintance with the
noble building of Euclid's geometry, and you remember — perhaps with more
respect than love — the magnificent structure, on the lofty staircase of which
you were chased about for uncounted hours by conscientious teachers. By reason
of our past experience, you would certainly regard everyone with disdain who
should pronounce even the most out-of-the-way proposition of this science to be
untrue. But perhaps this feeling of proud certainty would leave you immediately
if some one were to ask you: "What, then, do you mean by the assertion that
these propositions are true?" Let us proceed to give this question a little
consideration.
Geometry sets out from certain conceptions such as "plane," "point," and
"straight line," with which we are able to associate more or less definite
ideas, and from certain simple propositions (axioms) which, in virtue of these
ideas, we are inclined to accept as "true." Then, on the basis of a logical
process, the justification of which we feel ourselves compelled to admit, all
remaining propositions are shown to follow from those axioms, i.e. they
are proven. A proposition is then correct ("true") when it has been derived in
the recognised manner from the axioms. The question of "truth" of the individual
geometrical propositions is thus reduced to one of the "truth" of the axioms.
Now it has long been known that the last question is not only unanswerable by
the methods of geometry, but that it is in itself entirely without meaning. We
cannot ask whether it is true that only one straight line goes through two
points. We can only say that Euclidean geometry deals with things called
"straight lines," to each of which is ascribed the property of being uniquely
determined by two points situated on it. The concept "true" does not tally with
the assertions of pure geometry, because by the word "true" we are eventually in
the habit of designating always the correspondence with a "real" object;
geometry, however, is not concerned with the relation of the ideas involved in
it to objects of experience, but only with the logical connection of these ideas
among themselves.
[An important
point. Mathematics is not science. It deals with abstractions (which are often
simplified approximations to reality). A scientist can use mathematics as a
powerful tool in determining relationships in the real world if there is a
strong correlation between the mathematics and reality. Formerly mathematics was
pursued almost exclusively as a tool for dealing with reality. There was a
blurring of the distinction between a "mathematician" and a "scientist" (Brahe
and Newton, for example were "mathematicians" who would today be more likely
thought of as "scientists"). Mathematics is increasingly becoming a field
completely divorced from reality, an autonomous discipline which can make its
own rules and is valid whether it has any connection with the real world or not.
PRS]
It is not difficult to understand why, in spite of this, we feel constrained to
call the propositions of geometry "true." Geometrical ideas correspond to more
or less exact objects in nature, and these last are undoubtedly the exclusive
cause of the genesis of those ideas. Geometry ought to refrain from such a
course, in order to give to its structure the largest possible logical unity.
The practice, for example, of seeing in a "distance" two marked positions on a
practically rigid body is something which is lodged deeply in our habit of
thought. We are accustomed further to regard three points as being situated on a
straight line, if their apparent positions can be made to coincide for
observation with one eye, under suitable choice of our place of observation.
If, in pursuance of our habit of thought, we now supplement the propositions of
Euclidean geometry by the single proposition that two points on a practically
rigid body always correspond to the same distance (line-interval), independently
of any changes in position to which we may subject the body, the propositions of
Euclidean geometry then resolve themselves into propositions on the possible
relative position of practically rigid bodies.1)
Geometry which has been supplemented in this way is then to be treated as a
branch of physics. We can now legitimately ask as to the "truth" of geometrical
propositions interpreted in this way, since we are justified in asking whether
these propositions are satisfied for those real things we have associated with
the geometrical ideas. In less exact terms we can express this by saying that by
the "truth" of a geometrical proposition in this sense we understand its
validity for a construction with rule and compasses.
[ Notice that
Einstein here claims that with the addition of one proposition he has converted
the mathematical discipline of Geometry into a branch of science which is
competent to tell us the truth about the world. The confusion between
mathematics and science was a pitfall for ancient Greek attempts at science -
assuming that the real world must conform to mathematics. While in this
particular example it seems quite innocuous, Einstein is opening the door for
science to return to that state.
Soddy's 1954 address noted that this is
exactly what happened in physics following the acceptance of Relativity. PRS]
Of course the conviction of the "truth" of geometrical propositions in this
sense is founded exclusively on rather incomplete experience. For the present we
shall assume the "truth" of the geometrical propositions, then at a later stage
(in the general theory of relativity) we shall see that this "truth" is limited,
and we shall consider the extent of its limitation.
Notes
1) It follows that a natural object is associated also
with a straight line. Three points A, B and C on a rigid body thus
lie in a straight line when the points A and C being given, B
is chosen such that the sum of the distances AB and BC is as short
as possible. This incomplete suggestion will suffice for the present purpose.
Section 2
The System of Co-ordinates
On the basis of the physical interpretation of distance which has been
indicated, we are also in a position to establish the distance between two
points on a rigid body by means of measurements. For this purpose we require a "
distance " (rod S) which is to be used once and for all, and which we
employ as a standard measure. If, now, A and B are two points on a
rigid body, we can construct the line joining them according to the rules of
geometry ; then, starting from A, we can mark off the distance S
time after time until we reach B. The number of these operations required
is the numerical measure of the distance AB. This is the basis of all
measurement of length. 1)
Every description of the scene of an event or of the position of an object in
space is based on the specification of the point on a rigid body (body of
reference) with which that event or object coincides. This applies not only to
scientific description, but also to everyday life. If I analyse the place
specification " Trafalgar Square, London," I arrive at the following result. The
earth is the rigid body to which the specification of place refers; " Trafalgar
Square, London," is a well-defined point, to which a name has been assigned, and
with which the event coincides in space.2)
This primitive method of place specification deals only with places on the
surface of rigid bodies, and is dependent on the existence of points on this
surface which are distinguishable from each other. But we can free ourselves
from both of these limitations without altering the nature of our specification
of position. If, for instance, a cloud is hovering over Trafalgar Square, then
we can determine its position relative to the surface of the earth by erecting a
pole perpendicularly on the Square, so that it reaches the cloud. The length of
the pole measured with the standard measuring-rod, combined with the
specification of the position of the foot of the pole, supplies us with a
complete place specification. On the basis of this illustration, we are able to
see the manner in which a refinement of the conception of position has been
developed.
(a) We imagine the rigid body, to which the place specification is referred,
supplemented in such a manner that the object whose position we require is
reached by the completed rigid body.
(b) In locating the position of the object, we make use of a number (here the
length of the pole measured with the measuring-rod) instead of designated points
of reference.
(c) We speak of the height of the cloud even when the pole which reaches the
cloud has not been erected. By means of optical observations of the cloud from
different positions on the ground, and taking into account the properties of the
propagation of light, we determine the length of the pole we should have
required in order to reach the cloud.
From this consideration we see that it will be advantageous if, in the
description of position, it should be possible by means of numerical measures to
make ourselves independent of the existence of marked positions (possessing
names) on the rigid body of reference. In the physics of measurement this is
attained by the application of the Cartesian system of co-ordinates.
This consists of three plane surfaces perpendicular to each other and rigidly
attached to a rigid body. Referred to a system of co-ordinates, the scene of any
event will be determined (for the main part) by the specification of the lengths
of the three perpendiculars or co-ordinates (x, y, z) which can be
dropped from the scene of the event to those three plane surfaces. The lengths
of these three perpendiculars can be determined by a series of manipulations
with rigid measuring-rods performed according to the rules and methods laid down
by Euclidean geometry.
In practice, the rigid surfaces which constitute the system of co-ordinates are
generally not available ; furthermore, the magnitudes of the co-ordinates are
not actually determined by constructions with rigid rods, but by indirect means.
If the results of physics and astronomy are to maintain their clearness, the
physical meaning of specifications of position must always be sought in
accordance with the above considerations. 3)
We thus obtain the following result: Every description of events in space
involves the use of a rigid body to which such events have to be referred. The
resulting relationship takes for granted that the laws of Euclidean geometry
hold for "distances;" the "distance" being represented physically by means of
the convention of two marks on a rigid body.
Notes
1) Here we have assumed that there is nothing left over
i.e. that the measurement gives a whole number. This difficulty is got
over by the use of divided measuring-rods, the introduction of which does not
demand any fundamentally new method.
2) It is not necessary here to investigate further the
significance of the expression "coincidence in space." This conception is
sufficiently obvious to ensure that differences of opinion are scarcely likely
to arise as to its applicability in practice.
3) A refinement and modification of these views does
not become necessary until we come to deal with the general theory of
relativity, treated in the second part of this book.
Section 3
Space and Time in Classical Mechanics
The purpose of mechanics is to describe how bodies change their position in
space with "time." I should load my conscience with grave sins against the
sacred spirit of lucidity were I to formulate the aims of mechanics in this way,
without serious reflection and detailed explanations. Let us proceed to disclose
these sins.
It is not clear what is to be understood here by "position" and "space." I stand
at the window of a railway carriage which is travelling uniformly, and drop a
stone on the embankment, without throwing it. Then, disregarding the influence
of the air resistance, I see the stone descend in a straight line. A pedestrian
who observes the misdeed from the footpath notices that the stone falls to earth
in a parabolic curve. I now ask: Do the "positions" traversed by the stone lie
"in reality" on a straight line or on a parabola? Moreover, what is meant here
by motion "in space" ? From the considerations of the previous section the
answer is self-evident. In the first place we entirely shun the vague word
"space," of which, we must honestly acknowledge, we cannot form the slightest
conception, and we replace it by "motion relative to a practically rigid body of
reference." The positions relative to the body of reference (railway carriage or
embankment) have already been defined in detail in the preceding section. If
instead of " body of reference " we insert " system of co-ordinates," which is a
useful idea for mathematical description, we are in a position to say : The
stone traverses a straight line relative to a system of co-ordinates rigidly
attached to the carriage, but relative to a system of co-ordinates rigidly
attached to the ground (embankment) it describes a parabola. With the aid of
this example it is clearly seen that there is no such thing as an independently
existing trajectory (lit. "path-curve" 1)), but only a
trajectory relative to a particular body of reference.
In order to have a complete description of the motion, we must specify
how the body alters its position with time ; i.e. for every point on the
trajectory it must be stated at what time the body is situated there. These data
must be supplemented by such a definition of time that, in virtue of this
definition, these time-values can be regarded essentially as magnitudes (results
of measurements) capable of observation. If we take our stand on the ground of
classical mechanics, we can satisfy this requirement for our illustration in the
following manner. We imagine two clocks of identical construction ; the man at
the railway-carriage window is holding one of them, and the man on the footpath
the other. Each of the observers determines the position on his own
reference-body occupied by the stone at each tick of the clock he is holding in
his hand. In this connection we have not taken account of the inaccuracy
involved by the finiteness of the velocity of propagation of light. With this
and with a second difficulty prevailing here we shall have to deal in detail
later.
Notes
1) That is, a curve along which the body moves.
Section 4
The Galileian System of Co-ordinates
As is well known, the fundamental law of the mechanics of Galilei-Newton, which
is known as the law of inertia, can be stated thus: A body removed
sufficiently far from other bodies continues in a state of rest or of uniform
motion in a straight line.
[Note that
Newton did not say this. His first law is usually stated "every body continues
in its state of rest or uniform motion in a straight line except insofar as it
compelled to change that state by external impressed forces". PRS].
This law not only says something about the motion of the bodies, but it also
indicates the reference-bodies or systems of coordinates, permissible in
mechanics, which can be used in mechanical description. The visible fixed stars
are bodies for which the law of inertia certainly holds to a high degree of
approximation.
Now if we use a system of co-ordinates which is rigidly attached to the earth,
then, relative to this system, every fixed star describes a circle of immense
radius in the course of an astronomical day, a result which is opposed to the
statement of the law of inertia.
[i.e. to
Einstein's above statement of it PRS] So that if we adhere to this
law we must refer these motions only to systems of coordinates relative to which
the fixed stars do not move in a circle. A system of co-ordinates of which the
state of motion is such that the law of inertia holds relative to it is called a
" Galileian system of co-ordinates." The laws of the mechanics of Galflei-Newton
can be regarded as valid only for a Galileian system of co-ordinates.
Section 5
The Principle of Relativity
(in the restricted sense)
In order to attain the greatest possible clearness, let us return to our example
of the railway carriage supposed to be travelling uniformly. We call its motion
a uniform translation ("uniform" because it is of constant velocity and
direction, " translation " because although the carriage changes its position
relative to the embankment yet it does not rotate in so doing). Let us imagine a
raven flying through the air in such a manner that its motion, as observed from
the embankment, is uniform and in a straight line. If we were to observe the
flying raven from the moving railway carriage. we should find that the motion of
the raven would be one of different velocity and direction, but that it would
still be uniform and in a straight line. Expressed in an abstract manner we may
say : If a mass m is moving uniformly in a straight
line with respect to a co-ordinate system K, then it
will also be moving uniformly and in a straight line relative to a second
co-ordinate system K1 provided that the
latter is executing a uniform translatory motion with respect to
K. In accordance with the discussion contained in the
preceding section, it follows that:
If K is a Galileian co-ordinate system. then every
other co-ordinate system K' is a Galileian one, when,
in relation to K, it is in a condition of uniform
motion of translation. Relative to K1 the
mechanical laws of Galilei-Newton hold good exactly as they do with respect to
K.
We advance a step farther in our generalisation when we express the tenet thus:
If, relative to K, K1
is a uniformly moving co-ordinate system devoid of rotation, then natural
phenomena run their course with respect to K1
according to exactly the same general laws as with respect to
K. This statement is called the principle of relativity (in the
restricted sense).
As long as one was convinced that all natural phenomena were capable of
representation with the help of classical mechanics, there was no need to doubt
the validity of this principle of relativity. But in view of the more recent
development of electrodynamics and optics it became more and more evident that
classical mechanics affords an insufficient foundation for the physical
description of all natural phenomena. At this juncture the question of the
validity of the principle of relativity became ripe for discussion, and it did
not appear impossible that the answer to this question might be in the negative.
[It was
primarily experiments which failed to show any velocity of the earth through
space (Michelson and Morely's in particular) which led to this. PRS]
Nevertheless, there are two general facts which at the outset speak very much in
favour of the validity of the principle of relativity. Even though classical
mechanics does not supply us with a sufficiently broad basis for the theoretical
presentation of all physical phenomena, still we must grant it a considerable
measure of " truth," since it supplies us with the actual motions of the
heavenly bodies with a delicacy of detail little short of wonderful. The
principle of relativity must therefore apply with great accuracy in the domain
of mechanics. But that a principle of such broad generality should hold
with such exactness in one domain of phenomena, and yet should be invalid for
another, is a priori not very probable.
We now proceed to the second argument, to which, moreover, we shall return
later. If the principle of relativity (in the restricted sense) does not hold,
then the Galileian co-ordinate systems K, K1, K2,
etc., which are moving uniformly relative to each other, will not be equivalent
for the description of natural phenomena. In this case we should be constrained
to believe that natural laws are capable of being formulated in a particularly
simple manner, and of course only on condition that, from amongst all possible
Galileian co-ordinate systems, we should have chosen one (K0)
of a particular state of motion as our body of reference. We should then be
justified (because of its merits for the description of natural phenomena) in
calling this system " absolutely at rest," and all other Galileian systems
K " in motion".
[The possibility of the existence of such a "preferred" frame of reference is
anathema to modern science. PRS] If, for instance, our embankment
were the system K0 then our railway carriage
would be a system K, relative to which less simple laws
would hold than with respect to K0. This
diminished simplicity would be due to the fact that the carriage
K would be in motion (i.e."really")with respect
to K0. In the general laws of nature which
have been formulated with reference to K, the magnitude
and direction of the velocity of the carriage would necessarily play a part. We
should expect, for instance, that the note emitted by an organpipe placed with
its axis parallel to the direction of travel would be different from that
emitted if the axis of the pipe were placed perpendicular to this direction.
[As far as
I can see Einstein should say the note "could" be different, I see no
justification for his "would" be different. PRS]
Now in virtue of its motion in an orbit round the sun, our earth is comparable
with a railway carriage travelling with a velocity of about 30 kilometres per
second. If the principle of relativity were not valid we should therefore expect
that the direction of motion of the earth at any moment would enter into the
laws of nature, and also that physical systems in their behaviour would be
dependent on the orientation in space with respect to the earth. For owing to
the alteration in direction of the velocity of revolution of the earth in the
course of a year, the earth cannot be at rest relative to the hypothetical
system K0 throughout the whole year.
However, the most careful observations have never revealed such anisotropic
properties in terrestrial physical space, i.e. a physical non-equivalence
of different directions. This is very powerful argument in favour of the
principle of relativity.
[This is a
crucial paragraph and deserves careful though. Einstein begins by taking for
granted the absolute certainty of the motion of the earth in an orbit around the
sun. He then points out that the most careful observations cannot detect a trace
of this motion. This "powerful argument" forms a basis of his theory of
Relativity which concludes that it is impossible to tell whether any
astronomical body (including the earth) is actually in motion or not! PRS]
Section 6
The Theorem of the
Addition of Velocities
Employed in Classical Mechanics
Let us suppose our old friend the railway carriage to be travelling along the
rails with a constant velocity v, and that a man
traverses the length of the carriage in the direction of travel with a velocity
w. How quickly or, in other words, with what velocity
W does the man advance relative to the embankment
during the process ? The only possible answer seems to result from the following
consideration: If the man were to stand still for a second, he would advance
relative to the embankment through a distance v equal
numerically to the velocity of the carriage. As a consequence of his walking,
however, he traverses an additional distance w relative
to the carriage, and hence also relative to the embankment, in this second, the
distance w being numerically equal to the velocity with
which he is walking. Thus in total be covers the distance W=v+w
relative to the embankment in the second considered. We shall see later that
this result, which expresses the theorem of the addition of velocities employed
in classical mechanics, cannot be maintained ; in other words, the law that we
have just written down does not hold in reality. For the time being, however, we
shall assume its correctness.
Section 7
The Apparent Incompatibility of the
Law of Propagation of Light with the
Principle of Relativity
There is hardly a simpler law in physics than that according to which light is
propagated in empty space. Every child at school knows, or believes he knows,
that this propagation takes place in straight lines with a velocity
c= 300,000 km./sec. At all events we know with great
exactness that this velocity is the same for all colours, because if this were
not the case, the minimum of emission would not be observed simultaneously for
different colours during the eclipse of a fixed star by its dark neighbour. By
means of similar considerations based on observations of double stars, the Dutch
astronomer De Sitter was also able to show that the velocity of propagation of
light cannot depend on the velocity of motion of the body emitting the light.
The assumption that this velocity of propagation is dependent on the direction
"in space" is in itself improbable.
In short, let us assume that the simple law of the constancy of the velocity of
light c (in vacuum) is justifiably believed by the
child at school. Who would imagine that this simple law has plunged the
conscientiously thoughtful physicist into the greatest intellectual
difficulties? Let us consider how these difficulties arise.
[A point to
note is that the child at school would almost certainly have a different idea of
what he means by "the constancy of the velocity of light". Einstein is actually
saying that however quickly, and in whatever direction an observer is moving he
will always measure the speed at which any beam of light strikes him as 300,000
km/sec. Einstein and his peers came to believe this because (a) experiments
designed to measure the speed of the earth around the sun could detect no
difference between light impact speeds throughout the year and (b) they were
confident that the earth does, indeed, orbit the sun. PRS]
Of course we must refer the process of the propagation of light (and indeed
every other process) to a rigid reference-body (co-ordinate system). As such a
system let us again choose our embankment. We shall imagine the air above it to
have been removed. If a ray of light be sent along the embankment, we see from
the above that the tip of the ray will be transmitted with the velocity
c relative to the embankment. Now let us suppose that
our railway carriage is again travelling along the railway lines with the
velocity v, and that its direction is the same as that
of the ray of light, but its velocity of course much less. Let us inquire about
the velocity of propagation of the ray of light relative to the carriage. It is
obvious that we can here apply the consideration of the previous section, since
the ray of light plays the part of the man walking along relatively to the
carriage. The velocity w of the man relative to the
embankment is here replaced by the velocity of light relative to the embankment.
w is the required velocity of light with respect to the
carriage, and we have
w = c-v.
The velocity of propagation of a ray of light relative to the carriage thus
comes out smaller than c.
But this result comes into conflict with the principle of relativity set forth
in Section V. For, like every other general law of nature, the law of the
transmission of light in vacuo [in vacuum]
must, according to the principle of relativity, be the same for the railway
carriage as reference-body as when the rails are the body of reference. But,
from our above consideration, this would appear to be impossible. If every ray
of light is propagated relative to the embankment with the velocity
c, then for this reason it would appear that another
law of propagation of light must necessarily hold with respect to the carriage —
a result contradictory to the principle of relativity.
[Einstein's
previous description of a general law of nature does not give the impression
that the numerical value of a velocity can be such a law. His illustration of
the raven's flight suggests exactly the opposite. PRS]
In view of this dilemma there appears to be nothing else for it than to abandon
either the principle of relativity or the simple law of the propagation of light
in vacuo. Those of you who have carefully followed the preceding
discussion are almost sure to expect that we should retain the principle of
relativity, which appeals so convincingly to the intellect because it is so
natural and simple. The law of the propagation of light in vacuo would
then have to be replaced by a more complicated law conformable to the principle
of relativity. The development of theoretical physics shows, however, that we
cannot pursue this course. The epoch-making theoretical investigations of H. A.
Lorentz on the electrodynamical and optical phenomena connected with moving
bodies show that experience in this domain leads conclusively to a theory of
electromagnetic phenomena, of which the law of the constancy of the velocity of
light in vacuo is a necessary consequence. Prominent theoretical
physicists were therefore more inclined to reject the principle of relativity,
in spite of the fact that no empirical data had been found which were
contradictory to this principle.
At this juncture the theory of relativity entered the arena. As a result of an
analysis of the physical conceptions of time and space, it became evident that
in reality there is not the least incompatibility between the principle of
relativity and the law of propagation of light, and that by systematically
holding fast to both these laws a logically rigid theory could be arrived at.
This theory has been called the special theory of relativity to
distinguish it from the extended theory, with which we shall deal later. In the
following pages we shall present the fundamental ideas of the special theory of
relativity.
Section 8
On the Idea of Time in Physics
Lightning has struck the rails on our railway embankment at two places
A and B far distant from each
other. I make the additional assertion that these two lightning flashes occurred
simultaneously. If I ask you whether there is sense in this statement, you will
answer my question with a decided "Yes." But if I now approach you with the
request to explain to me the sense of the statement more precisely, you find
after some consideration that the answer to this question is not so easy as it
appears at first sight.
After some time perhaps the following answer would occur to you: "The
significance of the statement is clear in itself and needs no further
explanation; of course it would require some consideration if I were to be
commissioned to determine by observations whether in the actual case the two
events took place simultaneously or not." I cannot be satisfied with this answer
for the following reason. Supposing that as a result of ingenious considerations
an able meteorologist were to discover that the lightning must always strike the
places A and B simultaneously,
then we should be faced with the task of testing whether or not this theoretical
result is in accordance with the reality.
[Note the
use of the word "discover" here, common in "scientific" circles, potentially
confusing to anyone not in the know. A scientist discovers something when he
develops a theory or deduces a consequence of a theory. PRS] We
encounter the same difficulty with all physical statements in which the
conception " simultaneous " plays a part. The concept does not exist for the
physicist until he has the possibility of discovering whether or not it is
fulfilled in an actual case. We thus require a definition of simultaneity such
that this definition supplies us with the method by means of which, in the
present case, he can decide by experiment whether or not both the lightning
strokes occurred simultaneously. As long as this requirement is not satisfied, I
allow myself to be deceived as a physicist (and of course the same applies if I
am not a physicist), when I imagine that I am able to attach a meaning to the
statement of simultaneity. (I would ask the reader not to proceed farther until
he is fully convinced on this point.)
After thinking the matter over for some time you then offer the following
suggestion with which to test simultaneity. By measuring along the rails, the
connecting line AB should be measured up and an
observer placed at the mid-point M of the distance
AB. This observer should be supplied with an
arrangement (e.g. two mirrors inclined at 900) which allows
him visually to observe both places A and
B at the same time. If the observer perceives the two
flashes of lightning at the same time, then they are simultaneous.
I am very pleased with this suggestion, but for all that I cannot regard the
matter as quite settled, because I feel constrained to raise the following
objection:
"Your definition would certainly be right, if only I knew that the light by
means of which the observer at M perceives the
lightning flashes travels along the length A
M with the same velocity as along the length
B
M. But an examination of this supposition would only be
possible if we already had at our disposal the means of measuring time. It would
thus appear as though we were moving here in a logical circle."
After further consideration you cast a somewhat disdainful glance at me — and
rightly so — and you declare:
"I maintain my previous definition nevertheless, because in reality it assumes
absolutely nothing about light. There is only one demand to be made of the
definition of simultaneity, namely, that in every real case it must supply us
with an empirical decision as to whether or not the conception that has to be
defined is fulfilled. That my definition satisfies this demand is indisputable.
That light requires the same time to traverse the path A
M as for the path B
M is in reality neither a supposition nor a
hypothesis about the physical nature of light, but a stipulation which I can
make of my own free will in order to arrive at a definition of simultaneity."
[The
importance of the last few paragraphs can hardly be overstated. They imply the
claim that a scientist can define time (and simultaneity) in any way he chooses
as long as the definition is used consistently. There can therefore be no
objection to his own definition. In fact Einstein chose this particular
definition of simultaneity to make his analysis agree with previously
established observations (e.g. e=mc2). This definition has enormous
consequences and brings to mind Euler's warning "in our researches into the
phenomena of the visible world we are liable to weaknesses and inconsistencies
so humiliating that a Revelation was absolutely necessary to us and we ought to
avail ourselves of it with the most powerful veneration?" Referring to the
Revelation so highly venerated by Euler we see that God set the sun, moon and
stars in the firmament of heaven "to be for signs and for seasons, for days and
for years". We have the God-given definition of time in the movements of the
heavenly bodies. For many years it was universally accepted that solar mean time
referred to some meridian was the accepted measure. Since the Greenwich meridian
was the first accurately evaluated for mean time it became the world standard. A
simple addition gives time relative to any other meridian. If Einstein had not
"put words into our mouth", a more likely answer might have been:- "if observers
with clocks set accurately to GMT record two events at the same reading of their
clocks then the events are simultaneous". Impeccable mathematics based on
Einstein's bizarre definition will lead to bizarre conclusions. Einstein
recognises that he is already in trouble from one of these. The fact that his
definition results in time being plastic makes it impossible to maintain that
light moves at the same velocity from A to M as from B to M, since velocity is
defined in terms of time. He is now forced to make it "a stipulation of his own
free will". If he were consistent he would have to admit that all his previous
analyses were also stipulations of his own free will, since they involved
velocities etc. which will no longer conform to their "classical" definitions.
PRS]
It is clear that this definition can be used to give an exact meaning not only
to two events, but to as many events as we care to choose, and
independently of the positions of the scenes of the events with respect to the
body of reference 1) (here the railway embankment). We
are thus led also to a definition of " time " in physics. For this purpose we
suppose that clocks of identical construction are placed at the points
A, B and C
of the railway line (co-ordinate system) and that they are set in such a manner
that the positions of their pointers are simultaneously (in the above sense) the
same. Under these conditions we understand by the " time " of an event the
reading (position of the hands) of that one of these clocks which is in the
immediate vicinity (in space) of the event. In this manner a time-value is
associated with every event which is essentially capable of observation.
This stipulation contains a further physical hypothesis, the validity of which
will hardly be doubted without empirical evidence to the contrary. It has been
assumed that all these clocks go at the same rate if they are of
identical construction. Stated more exactly: When two clocks arranged at rest in
different places of a reference-body are set in such a manner that a
particular position of the pointers of the one clock is simultaneous
(in the above sense) with the same position, of the pointers of the other clock,
then identical " settings " are always simultaneous (in the sense of the above
definition).
Footnotes
1) We suppose further, that, when three events
A, B and C
occur in different places in such a manner that A is
simultaneous with B and B is
simultaneous with C (simultaneous in the sense of the
above definition), then the criterion for the simultaneity of the pair of events
A, C is also satisfied. This
assumption is a physical hypothesis about the propagation of light: it must
certainly be fulfilled if we are to maintain the law of the constancy of the
velocity of light in vacuo.
Section 9
The Relativity of Simultaneity
Up to now our considerations have been referred to a particular body of
reference, which we have styled a " railway embankment." We suppose a very long
train travelling along the rails with the constant velocity v
and in the direction indicated in Fig 1. People travelling in this train will
with advantage view the train as a rigid reference-body (co-ordinate system);
they regard all events in

reference to the train. Then every event which takes place along the line also
takes place at a particular point of the train. Also the definition of
simultaneity can be given relative to the train in exactly the same way as with
respect to the embankment. As a natural consequence, however, the following
question arises :
Are two events (e.g. the two strokes of lightning A
and B) which are simultaneous with reference to the
railway embankment also simultaneous relatively to the train? We
shall show directly that the answer must be in the negative.
When we say that the lightning strokes A and
B are simultaneous with respect to be embankment, we
mean: the rays of light emitted at the places A and
B, where the lightning occurs, meet each other at the
mid-point M of the length A
B of the embankment. But the events A
and B also correspond to positions A
and B on the train. Let M1
be the mid-point of the distance A
B on the travelling train. Just when the flashes (as
judged from the embankment) of lightning occur, this point M1
naturally coincides with the point M but it moves
towards the right in the diagram with the velocity v of
the train. If an observer sitting in the position M1
in the train did not possess this velocity, then he would remain permanently at
M, and the light rays emitted by the flashes of
lightning A and B would reach
him simultaneously, i.e. they would meet just where he is situated. Now
in reality (considered with reference to the railway embankment) he is hastening
towards the beam of light coming from B, whilst he is
riding on ahead of the beam of light coming from A.
Hence the observer will see the beam of light emitted from B
earlier than he will see that emitted from A. Observers
who take the railway train as their reference-body must therefore come to the
conclusion that the lightning flash B took place
earlier than the lightning flash A. We thus arrive at
the important result:
Events which are simultaneous with reference to the embankment are not
simultaneous with respect to the train, and vice versa (relativity of
simultaneity). Every reference-body (co-ordinate system) has its own particular
time ; unless we are told the reference-body to which the statement of time
refers, there is no meaning in a statement of the time of an event.
[Note this
is a direct consequence of his definition of simultaneity. PRS]
Now before the advent of the theory of relativity it had always tacitly been
assumed in physics that the statement of time had an absolute significance,
i.e. that it is independent of the state of motion of the body of reference.
But we have just seen that this assumption is incompatible with the most natural
definition of simultaneity; if we discard this assumption, then the conflict
between the law of the propagation of light in vacuo and the principle of
relativity (developed in Section 7) disappears.
[Einstein seems to have convinced himself that his definition is "the most
natural". Soddy found "it reads, to say the least,
somewhat curiously". It is certainly not the most natural definition for one who
holds Scriptural revelation in high esteem. PRS]
We were led to that conflict by the considerations of Section 6, which are now
no longer tenable. In that section we concluded that the man in the carriage,
who traverses the distance w per second relative
to the carriage, traverses the same distance also with respect to the embankment
in each second of time. But, according to the foregoing considerations,
the time required by a particular occurrence with respect to the carriage must
not be considered equal to the duration of the same occurrence as judged from
the embankment (as reference-body). Hence it cannot be contended that the man in
walking travels the distance w relative to the railway
line in a time which is equal to one second as judged from the embankment.
Moreover, the considerations of Section 6 are based on yet a second assumption,
which, in the light of a strict consideration, appears to be arbitrary, although
it was always tacitly made even before the introduction of the theory of
relativity.
Section 10
On the Relativity of the Conception of Distance
Let us consider two particular points on the train 1)
travelling along the embankment with the velocity v,
and inquire as to their distance apart. We already know that it is necessary to
have a body of reference for the measurement of a distance, with respect to
which body the distance can be measured up. It is the simplest plan to use the
train itself as reference-body (co-ordinate system). An observer in the train
measures the interval by marking off his measuring-rod in a straight line (e.g.
along the floor of the carriage) as many times as is necessary to take him from
the one marked point to the other. Then the number which tells us how often the
rod has to be laid down is the required distance.
It is a different matter when the distance has to be judged from the railway
line. Here the following method suggests itself. If we call A1
and B1 the two points on the train whose
distance apart is required, then both of these points are moving with the
velocity v along the embankment. In the first place we
require to determine the points A and
B of the embankment which are just being passed by the two points
A1 and B1
at a particular time t — judged from the embankment.
These points A and B of the
embankment can be determined by applying the definition of time given in Section
8. The distance between these points A and
B is then measured by repeated application of the
measuring-rod along the embankment.
A priori it is by no means certain that this last measurement will supply
us with the same result as the first. Thus the length of the train as measured
from the embankment may be different from that obtained by measuring in the
train itself.
[In fact, Einstein's definition guarantees it. PRS]. This
circumstance leads us to a second objection which must be raised against the
apparently obvious consideration of Section 6. Namely, if the man in the
carriage covers the distance w in a unit of time —
measured from the train, — then this distance — as measured from the
embankment — is not necessarily also equal to w.
Footnotes
1) e.g. the middle of the first and of the
hundredth carriage.
Section 11
The Lorentz Transformation
The results of the last three sections show that the apparent incompatibility of
the law of propagation of light with the principle of relativity (Section 7) has
been derived by means of a consideration which borrowed two unjustifiable
hypotheses from classical mechanics; these are as follows:
(1) The time-interval (time) between two events is independent of the condition
of motion of the body of reference.
(2) The space-interval (distance) between two points of a rigid body is
independent of the condition of motion of the body of reference.
If we drop these hypotheses, then the dilemma of Section 7 disappears, because
the theorem of the addition of velocities derived in Section 6 becomes invalid.
The possibility presents itself that the law of the propagation of light in
vacuo may be compatible with the principle of relativity, and the question
arises: How have we to modify the considerations of Section 6 in order to remove
the apparent disagreement between these two fundamental results of experience?
This question leads to a general one. In the discussion of Section 6 we have to
do with places and times relative both to the train and to the embankment. How
are we to find the place and time of an event in relation to the train, when we
know the place and time of the event with respect to the railway embankment ? Is
there a thinkable answer to this question of such a nature that the law of
transmission of light in vacuo does not contradict the principle of
relativity ? In other words : Can we conceive of a relation between place and
time of the individual events relative to both reference-bodies, such that every
ray of light possesses the velocity of transmission c
relative to the embankment and relative to the train ? This question leads to a
quite definite positive answer, and to a perfectly definite transformation law
for the space-time magnitudes of an event when changing over from one body of
reference to another.
Before we deal with this, we shall introduce the following incidental
consideration. Up to the present we have only considered events taking place
along the embankment, which had mathematically to assume the function of a
straight line. In the manner indicated in Section 2 we can imagine this
reference-body supplemented laterally and in a vertical direction by means of a
framework of rods, so that an event which takes place anywhere can be localised
with reference to this framework.
Similarly, we can imagine the train travelling with the velocity
v to be continued across the whole of space, so that
every event, no matter how far off it may be, could also be localised with
respect to the second framework. Without committing any fundamental error, we
can disregard the fact that in reality these frameworks would continually
interfere with each other, owing to the impenetrability of solid bodies. In
every such framework we imagine three surfaces perpendicular to each other
marked out, and designated as " co-ordinate planes " (" co-ordinate system ").
A co-ordinate system K then
corresponds to the embankment, and a co-ordinate system K'
to the train. An event, wherever it may have taken place, would be fixed in
space with respect to K by the three perpendiculars
x, y, z
on the co-ordinate planes, and with regard to time by a time value
t. Relative to K1,
the same event would be fixed in respect of space and time by
corresponding values x1, y1, z1,
t1, which of course are not identical with
x, y, z, t. It has already been set forth in detail how these magnitudes
are to be regarded as results of physical measurements.
Obviously our problem can be exactly formulated in the following manner. What
are the values x1, y1, z1, t1,
of an event with respect to K1, when the
magnitudes x, y, z, t, of the same event with respect
to K are given ? The relations must be so chosen that
the law of the transmission of light in vacuo is satisfied for one and
the same ray of light (and of course for every ray) with respect to
K and K1. For the
relative orientation in space of the co-ordinate systems indicated in the
diagram (Fig. 2), this problem is solved by means of the equations :
y1 = y
z1 = z
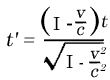
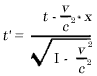
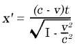
This system of equations is known as the " Lorentz transformation."
1)
[It is
these relations of which Soddy remarked "if any schoolboy were to commit such a
cardinal crime in maths as to cook his figures to get the answer right he would
be held up to obloquy to the whole school and probably spanked." His objection
seems to be that Einstein makes no admission that they come in just "to get the
answer right". Lorentz had proposed these factors within a plausible theory in
which bodies are shortened and clocks slow down for physical reasons.
Einstein's theory leads to the conclusion that time (not just the rate at which
clocks run) and space (not just the dimensions of physical objects) themselves
are not constant. Most concepts in physics (velocity, force, energy etc.) are
defined in terms of them as fundamental primitives. PRS]
If in place of the law of transmission of light we had taken as our basis the
tacit assumptions of the older mechanics as to the absolute character of times
and lengths, then instead of the above we should have obtained the following
equations:
x1 = x - vt
y1 = y
z1 = z
t1 = t
This system of equations is often termed the " Galilei transformation." The
Galilei transformation can be obtained from the Lorentz transformation by
substituting an infinitely large value for the velocity of light
c in the latter transformation.
Aided by the following illustration, we can readily see that, in accordance with
the Lorentz transformation, the law of the transmission of light in vacuo
is satisfied both for the reference-body K and for the
reference-body K1. A light-signal is sent
along the positive x-axis, and this light-stimulus
advances in accordance with the equation
x = ct,
i.e. with the velocity c. According to the
equations of the Lorentz transformation, this simple relation between
x and t involves a relation
between x1 and t1.
In point of fact, if we substitute for x the value
ct in the first and fourth equations of the Lorentz
transformation, we obtain:
from which, by division, the expression
x1 = ct1
immediately follows. If referred to the system K1,
the propagation of light takes place according to this equation. We thus see
that the velocity of transmission relative to the reference-body
K1 is also equal to c.
The same result is obtained for rays of light advancing in any other direction
whatsoever. Of cause this is not surprising, since the equations of the Lorentz
transformation were derived conformably to this point of view.
Footnotes
1) A simple derivation of the Lorentz transformation is
given in Appendix I.
Section 12
The Behaviour of Measuring-Rods and Clocks in Motion
Place a metre-rod in the x1-axis of
K1 in such a manner that one end (the
beginning) coincides with the point x1=0
whilst the other end (the end of the rod) coincides with the point
x1=I. What is the length of the metre-rod
relatively to the system K? In order to learn this, we
need only ask where the beginning of the rod and the end of the rod lie with
respect to K at a particular time t
of the system K. By means of the first equation of the
Lorentz transformation the values of these two points at the time
t = 0 can be shown to be
the distance between the points being
.
But the metre-rod is moving with the velocity v
relative to K. It therefore follows that the length of
a rigid metre-rod moving in the direction of its length with a velocity
v is
of a metre.
The rigid rod is thus shorter when in motion than when at rest, and the more
quickly it is moving, the shorter is the rod. For the velocity
v=c we should have
,
and for stiII greater velocities the square-root becomes imaginary. From this we
conclude that in the theory of relativity the velocity c
plays the part of a limiting velocity, which can neither be reached nor exceeded
by any real body.
Of course this feature of the velocity c as a limiting
velocity also clearly follows from the equations of the Lorentz transformation,
for these became meaningless if we choose values of v
greater than c.
If, on the contrary, we had considered a metre-rod at rest in the
x-axis with respect to K, then
we should have found that the length of the rod as judged from
K1 would have been
;
this is quite in accordance with the principle of relativity which forms the
basis of our considerations.
A Priori it is quite clear that we must be able to learn something about
the physical behaviour of measuring-rods and clocks from the equations of
transformation, for the magnitudes z, y, x, t, are
nothing more nor less than the results of measurements obtainable by means of
measuring-rods and clocks. If we had based our considerations on the Galileian
transformation we should not have obtained a contraction of the rod as a
consequence of its motion.
Let us now consider a seconds-clock which is permanently situated at the origin
(x1=0) of K1.
t1=0 and t1=I
are two successive ticks of this clock. The first and fourth equations of the
Lorentz transformation give for these two ticks :
t = 0
and
As judged from K, the clock is moving with the velocity
v; as judged from this reference-body, the time which
elapses between two strokes of the clock is not one second, but
seconds, i.e. a somewhat larger time. As a consequence of its motion the
clock goes more slowly than when at rest. Here also the velocity
c plays the part of an unattainable limiting velocity.
Section 13
Theorem of the Addition of Velocities.
The Experiment of Fizeau
Now in practice we can move clocks and measuring-rods only with velocities that
are small compared with the velocity of light; hence we shall hardly be able to
compare the results of the previous section directly with the reality. But, on
the other hand, these results must strike you as being very singular, and for
that reason I shall now draw another conclusion from the theory, one which can
easily be derived from the foregoing considerations, and which has been most
elegantly confirmed by experiment.
In Section 6 we derived the theorem of the addition of velocities in one
direction in the form which also results from the hypotheses of classical
mechanics- This theorem can also be deduced readily from the Galilei
transformation (Section 11). In place of the man walking inside the carriage, we
introduce a point moving relatively to the co-ordinate system
K1 in accordance with the equation
x1 = wt1
By means of the first and fourth equations of the Galilei transformation we can
express x1 and t1
in terms of x and t, and we
then obtain
x = (v + w)t
This equation expresses nothing else than the law of motion of the point with
reference to the system K (of the man with reference to
the embankment). We denote this velocity by the symbol W,
and we then obtain, as in Section 6,
W=v+w A)
But we can carry out this consideration just as well on the basis of the theory
of relativity. In the equation
x1 = wt1 B)
we must then express x1and
t1 in terms of x and
t, making use of the first and fourth equations of the
Lorentz transformation. Instead of the equation (A) we then obtain the equation
which corresponds to the theorem of addition for velocities in one direction
according to the theory of relativity. The question now arises as to which of
these two theorems is the better in accord with experience. On this point we are
enlightened by a most important experiment which the brilliant physicist Fizeau
performed more than half a century ago, and which has been repeated since then
by some of the best experimental physicists, so that there can be no doubt about
its result. The experiment is concerned with the following question. Light
travels in a motionless liquid with a particular velocity w.
How quickly does it travel in the direction of the arrow in the tube
T (see the accompanying diagram, Fig. 3) when the
liquid above mentioned is flowing through the tube with a velocity
v ?
In accordance with the principle of relativity we shall certainly have to take
for granted that the propagation of light always takes place with the same
velocity w with respect to the liquid, whether
the latter is in motion with reference to other bodies or not. The velocity of
light relative to the liquid and the velocity of the latter relative to the tube
are thus known, and we require the velocity of light relative to the tube.
It is clear that we have the problem of Section 6 again before us. The tube
plays the part of the railway embankment or of the co-ordinate system
K, the liquid plays the part of the carriage or of the
co-ordinate system K1, and finally, the
light plays the part of the
man walking along the carriage, or of the moving point in the present section.
If we denote the velocity of the light relative to the tube by
W, then this is given by the equation (A) or (B), according as the
Galilei transformation or the Lorentz transformation corresponds to the facts.
Experiment1)
decides in favour of equation (B) derived from the theory of relativity, and the
agreement is, indeed, very exact. According to recent and most excellent
measurements by Zeeman, the influence of the velocity of flow
v on the propagation of light is represented by formula (B) to within one
per cent.
Nevertheless we must now draw attention to the fact that a theory of this
phenomenon was given by H. A. Lorentz long before the statement of the theory of
relativity. This theory was of a purely electrodynamical nature, and was
obtained by the use of particular hypotheses as to the electromagnetic structure
of matter. This circumstance, however, does not in the least diminish the
conclusiveness of the experiment as a crucial test in favour of the theory of
relativity, for the electrodynamics of Maxwell-Lorentz, on which the original
theory was based, in no way opposes the theory of relativity.
Rather has the latter been developed from electrodynamics as an astoundingly
simple combination and generalisation of the hypotheses, formerly independent of
each other, on which electrodynamics was built .[Einstein
admits that Lorentz's theory predicts the same result, yet he claims it as a
conclusive proof of his own theory. In fact Frensnel had predicted exactly this
result by considerations of the aether many years before Fizeau performed the
experiment. The experiment was taken as proof of Fresnel's theory of the partial
entrainment of the aether. Hoek derived the same expression without considering
the aether half a century before Einstein's relativity. We will see several more
instances of results explained equally well by other theories claimed to be
definitive proofs of Einstein's theory alone. In fact I know of no observation
explainable by Einstein's theory which is not explained by at least one other
theory in a physically understandable context. Einstein claims superiority on
the grounds that his theory is "an astoundingly simple combination and
generalisation" of previous ides. But the earlier theories had attempted to give
a physical explanation of observations. Einstein presents a mathematically
impeccable generalisation, but its physics is obscure and the price to be paid
is the overthrow of the very basis of all the physics which had gone before.
Whether this is actually an advance or not is debatable. Chapter 2 of Barnes'
"Physics of the Future" contains the opinions of some outstanding physicists who
think not. PRS]
Footnotes
1) Fizeau found
,
where
is the index of refraction of the liquid. On the other hand, owing to the
smallness of
as compared with I,
we can replace (B) in the first place by
,
or to the same order of approximation by
,
which agrees with Fizeau's result.
Section 14
The Heuristic Value of the Theory of Relativity
Our train of thought in the foregoing pages can be epitomised in the following
manner. Experience has led to the conviction that, on the one hand, the
principle of relativity holds true and that on the other hand the velocity of
transmission of light in vacuo has to be considered equal to a constant
c. By uniting these two postulates we obtained the law
of transformation for the rectangular co-ordinates x, y, z
and the time t of the events which constitute the
processes of nature. In this connection we did not obtain the Galilei
transformation, but, differing from classical mechanics, the Lorentz
transformation.
The law of transmission of light, the acceptance of which is justified by our
actual knowledge, played an important part in this process of thought. Once in
possession of the Lorentz transformation, however, we can combine this with the
principle of relativity, and sum up the theory thus:
Every general law of nature must be so constituted that it is transformed into a
law of exactly the same form when, instead of the space-time variables
x, y, z, t of the original coordinate system
K, we introduce new space-time variables
x1, y1, z1, t1
of a co-ordinate system K1. In this
connection the relation between the ordinary and the accented magnitudes is
given by the Lorentz transformation. Or in brief : General laws of nature are
co-variant with respect to Lorentz transformations.
This is a definite mathematical condition that the theory of relativity demands
of a natural law, and in virtue of this, the theory becomes a valuable heuristic
aid in the search for general laws of nature. If a general law of nature were to
be found which did not satisfy this condition, then at least one of the two
fundamental assumptions of the theory would have been disproved. Let us now
examine what general results the latter theory has hitherto evinced.
Section 15
General Results of the Theory
It is clear from our previous considerations that the (special) theory of
relativity has grown out of electrodynamics and optics. In these fields it has
not appreciably altered the predictions of theory, but it has considerably
simplified the theoretical structure, i.e. the derivation of laws, and —
what is incomparably more important — it has considerably reduced the number of
independent hypothese forming the basis of theory. The special theory of
relativity has rendered the Maxwell-Lorentz theory so plausible, that the latter
would have been generally accepted by physicists even if experiment had decided
less unequivocally in its favour.
Classical mechanics required to be modified before it could come into line with
the demands of the special theory of relativity. For the main part, however,
this modification affects only the laws for rapid motions, in which the
velocities of matter v are not very small as compared
with the velocity of light. We have experience of such rapid motions only in the
case of electrons and ions; for other motions the variations from the laws of
classical mechanics are too small to make themselves evident in practice.
[Note that
the analysis has been presented in the context of a railway carriage moving
along a railway embankment. We are given the impression that the analysis is for
such "real" bodies. However, Einstein notes that the predictions of the theory
have only ever been experimentally compared with hypothetical particles. These
experiments have never involved measurements of the hypothetical particle's
length by anything comparable to a measuring rod, nor its mass with anything
comparable to a balance or scale, but indirectly using considerations involving
the Maxwell-Lorentz theory. The number of confirmations of Einstein's theory is
impressive, but this confirmation comes from a very restricted area of physics,
and every one is predicted by other theories which leave the fundamental
undefinables (space and time) intact. PRS] We shall not consider the
motion of stars until we come to speak of the general theory of relativity. In
accordance with the theory of relativity the kinetic energy of a material point
of mass m is no longer given by the well-known
expression
but by the expression
This expression approaches infinity as the velocity v
approaches the velocity of light c. The velocity must
therefore always remain less than c, however great may
be the energies used to produce the acceleration. If we develop the expression
for the kinetic energy in the form of a series, we obtain
When
is small compared with unity, the third of these terms is always small in
comparison with the second,
which last is alone considered in classical mechanics. The first term
mc2 does not contain the velocity, and
requires no consideration if we are only dealing with the question as to how the
energy of a point-mass; depends on the velocity. We shall speak of its essential
significance later.
The most important result of a general character to which the special theory of
relativity has led is concerned with the conception of mass. Before the advent
of relativity, physics recognised two conservation laws of fundamental
importance, namely, the law of the canservation of energy and the law of the
conservation of mass these two fundamental laws appeared to be quite independent
of each other. By means of the theory of relativity they have been united into
one law. We shall now briefly consider how this unification came about, and what
meaning is to be attached to it.
The principle of relativity requires that the law of the concervation of energy
should hold not only with reference to a co-ordinate system K,
but also with respect to every co-ordinate system K1
which is in a state of uniform motion of translation relative to
K, or, briefly, relative to every " Galileian " system
of co-ordinates. In contrast to classical mechanics; the Lorentz transformation
is the deciding factor in the transition from one such system to another.
By means of comparatively simple considerations we are led to draw the following
conclusion from these premises, in conjunction with the fundamental equations of
the electrodynamics of Maxwell: A body moving with the velocity
v, which absorbs 1) an amount
of energy E0 in the form of radiation
without suffering an alteration in velocity in the process, has, as a
consequence, its energy increased by an amount
In consideration of the expression given above for the kinetic energy of the
body, the required energy of the body comes out to be
Thus the body has the same energy as a body of mass
moving with the velocity v. Hence we can say: If a body
takes up an amount of energy E0, then its
inertial mass increases by an amount
the inertial mass of a body is not a constant but varies according to the change
in the energy of the body. The inertial mass of a system of bodies can even be
regarded as a measure of its energy. The law of the conservation of the mass of
a system becomes identical with the law of the conservation of energy, and is
only valid provided that the system neither takes up nor sends out energy.
Writing the expression for the energy in the form
we see that the term mc2, which has hitherto
attracted our attention, is nothing else than the energy possessed by the body
2) before it absorbed the energy E0.
A direct comparison of this relation with experiment is not possible at the
present time (1920; see Note, p. 48), owing to the fact that the changes in
energy E0 to which we can Subject a system
are not large enough to make themselves perceptible as a change in the inertial
mass of the system.
is too small in comparison with the mass m, which was
present before the alteration of the energy. It is owing to this circumstance
that classical mechanics was able to establish successfully the conservation of
mass as a law of independent validity.
Let me add a final remark of a fundamental nature. The success of the
Faraday-Maxwell interpretation of electromagnetic action at a distance resulted
in physicists becoming convinced that there are no such things as instantaneous
actions at a distance (not involving an intermediary medium) of the type of
Newton's law of gravitation. According to the theory of relativity, action at a
distance with the velocity of light always takes the place of instantaneous
action at a distance or of action at a distance with an infinite velocity of
transmission. This is connected with the fact that the velocity
c plays a fundamental role in this theory. In Part II
we shall see in what way this result becomes modified in the general theory of
relativity.
Footnotes
1) E0 is the energy
taken up, as judged from a co-ordinate system moving with the body.
2) As judged from a co-ordinate system moving with the
body.
[Note] The equation E = mc2
has been thoroughly proved time and again since this time.
Section 16
Experience and the Special Theory of Relativity
To what extent is the special theory of relativity supported by experience ?
This question is not easily answered for the reason already mentioned in
connection with the fundamental experiment of Fizeau. The special theory of
relativity has crystallised out from the Maxwell-Lorentz theory of
electromagnetic phenomena. Thus all facts of experience which support the
electromagnetic theory also support the theory of relativity. As being of
particular importance, I mention here the fact that the theory of relativity
enables us to predict the effects produced on the light reaching us from the
fixed stars. These results are obtained in an exceedingly simple manner, and the
effects indicated, which are due to the relative motion of the earth with
reference to those fixed stars are found to be in accord with experience. We
refer to the yearly movement of the apparent position of the fixed stars
resulting from the motion of the earth round the sun (aberration), and to the
influence of the radial components of the relative motions of the fixed stars
with respect to the earth on the colour of the light reaching us from them. The
latter effect manifests itself in a slight displacement of the spectral lines of
the light transmitted to us from a fixed star, as compared with the position of
the same spectral lines when they are produced by a terrestrial source of light
(Doppler principle). The experimental arguments in favour of the Maxwell-Lorentz
theory, which are at the same time arguments in favour of the theory of
relativity, are too numerous to be set forth here. In reality they limit the
theoretical possibilities to such an extent, that no other theory than that of
Maxwell and Lorentz has been able to hold its own when tested by experience.
[Maxwell and Lorentz (as well as Fresnel and Fizeau) founded their theories on
the aether, without which nothing in electromagnetism seems to make sense.
Einstein denies the existence of the aether six paragraphs farther on - "there
is no such thing as a " specially favoured " (unique) co-ordinate system to
occasion the introduction of the æther-idea ....". A few years later he had
to admit that his General Theory is "unthinkable without the aether" (see "Sidelights
on Relativity"). PRS]
But there are two classes of experimental facts hitherto obtained which can be
represented in the Maxwell-Lorentz theory only by the introduction of an
auxiliary hypothesis, which in itself — i.e. without making use of the
theory of relativity — appears extraneous.
[Ptolemy's
method - as a purely mathematical model for predicting planetary positions -
could be presented as superior to Newton's because it does not require the
additional hypothesis of gravity. In addition, Ptolemy's method (recast in
modern notation as Fourier analysis) is far simpler (Newton's analysis needs
many auxiliary hypotheses to give comparable accuracy). I suspect that few would
claim that Ptolemy's model is superior physics though. It does not represent a
quest for understanding how nature actually works. Einstein is presenting a
largely physics-free mathematical model which gives many useful answers at the
cost of denying classical physics and common sense. Attempts to understand the
physics (auxiliary hypotheses) appear extraneous. PRS]
It is known that cathode rays and the so-called β-rays emitted by radioactive
substances consist of negatively electrified particles (electrons) of very small
inertia and large velocity. By examining the deflection of these rays under the
influence of electric and magnetic fields, we can study the law of motion of
these particles very exactly.
In the theoretical treatment of these electrons, we are faced with the
difficulty that electrodynamic theory of itself is unable to give an account of
their nature. For since electrical masses of one sign repel each other, the
negative electrical masses constituting the electron would necessarily be
scattered under the influence of their mutual repulsions, unless there are
forces of another kind operating between them, the nature of which has hitherto
remained obscure to us.1) If we now assume that the
relative distances between the electrical masses constituting the electron
remain unchanged during the motion of the electron (rigid connection in the
sense of classical mechanics), we arrive at a law of motion of the electron
which does not agree with experience. Guided by purely formal points of view, H.
A. Lorentz was the first to introduce the hypothesis that the form of the
electron experiences a contraction in the direction of motion in consequence of
that motion. the contracted length being proportional to the expression
This, hypothesis, which is not justifiable by any electrodynamical facts,
supplies us then with that particular law of motion which has been confirmed
with great precision in recent years.
The theory of relativity leads to the same law of motion, without requiring any
special hypothesis whatsoever as to the structure and the behaviour of the
electron.
We arrived at a similar conclusion in Section 13 in connection with the
experiment of Fizeau, the result of which is foretold by the theory of
relativity without the necessity of drawing on hypotheses as to the physical
nature of the liquid.
The second class of facts to which we have alluded has reference to the question
whether or not the motion of the earth in space can be made perceptible in
terrestrial experiments. We have already remarked in Section 5 that all attempts
of this nature led to a negative result. Before the theory of relativity was put
forward, it was difficult to become reconciled to this negative result, for
reasons now to be discussed. The inherited prejudices about time and space did
not allow any doubt to arise as to the prime importance of the Galileian
transformation for changing over from one body of reference to another. Now
assuming that the Maxwell-Lorentz equations hold for a reference-body
K, we then find that they do not hold for a
reference-body K1 moving uniformly with
respect to K, if we assume that the relations of the
Galileian transformstion exist between the co-ordinates of K
and K1. It thus appears that, of all
Galileian co-ordinate systems, one (K) corresponding to
a particular state of motion is physically unique. This result was interpreted
physically by regarding K as at rest with respect to a
hypothetical æther of space. On the other hand, all coordinate systems
K1 moving relatively to K
were to be regarded as in motion with respect to the æther. To this motion of
K1 against the æther ("æther-drift "
relative to K1) were attributed the more
complicated laws which were supposed to hold relative to K1.
Strictly speaking, such an æther-drift ought also to be assumed relative to the
earth, and for a long time the efforts of physicists were devoted to attempts to
detect the existence of an æther-drift at the earth's surface.
In one of the most notable of these attempts Michelson devised a method which
appears as though it must be decisive. Imagine two mirrors so arranged on a
rigid body that the reflecting surfaces face each other. A ray of light requires
a perfectly definite time T to pass from one mirror to
the other and back again, if the whole system be at rest with respect to the
æther. It is found by calculation, however, that a slightly different time
T1 is required for this process, if the
body, together with the mirrors, be moving relatively to the æther. And yet
another point: it is shown by calculation that for a given velocity
v with reference to the æther, this time
T1 is different when the body is moving
perpendicularly to the planes of the mirrors from that resulting when the motion
is parallel to these planes. Although the estimated difference between these two
times is exceedingly small, Michelson and Morley performed an experiment
involving interference in which this difference should have been clearly
detectable. But the experiment gave a negative result — a fact very perplexing
to physicists.
[Perplexing because they were convinced that the earth does, indeed, have an
absolute velocity through space which the apparatus could not detect. PRS].
Lorentz and FitzGerald rescued the theory from this difficulty by assuming that
the motion of the body relative to the æther produces a contraction of the body
in the direction of motion, the amount of contraction being just sufficient to
compensate for the difference in time mentioned above. Comparison with the
discussion in Section 11 shows that also from the standpoint of the theory of
relativity this solution of the difficulty was the right one. But on the basis
of the theory of relativity the method of interpretation is incomparably more
satisfactory. According to this theory there is no such thing as a " specially
favoured " (unique) co-ordinate system to occasion the introduction of the
æther-idea, and hence there can be no æther-drift, nor any experiment with which
to demonstrate it. Here the contraction of moving bodies follows from the two
fundamental principles of the theory, without the introduction of particular
hypotheses ; and as the prime factor involved in this contraction we find, not
the motion in itself, to which we cannot attach any meaning, but the motion with
respect to the body of reference chosen in the particular case in point. Thus
for a co-ordinate system moving with the earth the mirror system of Michelson
and Morley is not shortened, but it is shortened for a co-ordinate system which
is at rest relatively to the sun.
[Is it then actually shortened or not? Is it only apparently shortened for
someone at rest relatively to the sun? Is it only apparently not shortened for
someone moving with the earth? Or is it both shortened and not shortened at the
same time? Is this a theory about appearances or reality? Or mathematics
without a connection to the real world? PRS]
Footnotes
1) The general theory of relativity renders it likely
that the electrical masses of an electron are held together by gravitational
forces.
Section 17
Minkowski's Four-Dimensional Space
The non-mathematician is seized by a mysterious shuddering when he hears of
"four-dimensional" things, by a feeling not unlike that awakened by thoughts of
the occult. And yet there is no more common-place statement than that the world
in which we live is a four-dimensional space-time continuum.
Space is a three-dimensional continuum. By this we mean that it is possible to
describe the position of a point (at rest) by means of three numbers
(co-ordinales) x, y, z, and that there is an indefinite
number of points in the neighbourhood of this one, the position of which can be
described by co-ordinates such as x1, y1,
z1, which may be as near as we choose to the respective values
of the co-ordinates x, y, z, of the first point. In
virtue of the latter property we speak of a " continuum," and owing to the fact
that there are three co-ordinates we speak of it as being " three-dimensional."
Similarly, the world of physical phenomena which was briefly called " world " by
Minkowski is naturally four dimensional in the space-time sense. For it is
composed of individual events, each of which is described by four numbers,
namely, three space co-ordinates x, y, z, and a time
co-ordinate, the time value t. The" world" is in this
sense also a continuum; for to every event there are as many "neighbouring"
events (realised or at least thinkable) as we care to choose, the co-ordinates
x1, y1, z1, t1
of which differ by an indefinitely small amount from those of the event
x, y, z, t originally considered. That we have not been
accustomed to regard the world in this sense as a four-dimensional continuum is
due to the fact that in physics, before the advent of the theory of relativity,
time played a different and more independent role, as compared with the space
coordinates. It is for this reason that we have been in the habit of treating
time as an independent continuum. As a matter of fact, according to classical
mechanics, time is absolute, i.e. it is independent of the position and
the condition of motion of the system of co-ordinates. We see this expressed in
the last equation of the Galileian transformation (t1
= t)
The four-dimensional mode of consideration of the "world" is natural on the
theory of relativity, since according to this theory time is robbed of its
independence. This is shown by the fourth equation of the Lorentz
transformation:
Moreover, according to this equation the time difference Δt1
of two events with respect to K1 does not in
general vanish, even when the time difference Δt1
of the same events with reference to K vanishes. Pure "
space-distance " of two events with respect to K
results in " time-distance " of the same events with respect to
K. But the discovery of Minkowski, which was of
importance for the formal development of the theory of relativity, does not lie
here. It is to be found rather in the fact of his recognition that the
four-dimensional space-time continuum of the theory of relativity, in its most
essential formal properties, shows a pronounced relationship to the
three-dimensional continuum of Euclidean geometrical space.1)
In order to give due prominence to this relationship, however, we must replace
the usual time co-ordinate t by an imaginary magnitude
proportional to it. Under these conditions, the natural laws satisfying the
demands of the (special) theory of relativity assume mathematical forms, in
which the time co-ordinate plays exactly the same role as the three space
co-ordinates. Formally, these four co-ordinates correspond exactly to the three
space co-ordinates in Euclidean geometry. It must be clear even to the
non-mathematician that, as a consequence of this purely formal addition to our
knowledge, the theory perforce gained clearness in no mean measure.
These inadequate remarks can give the reader only a vague notion of the
important idea contributed by Minkowski. Without it the general theory of
relativity, of which the fundamental ideas are developed in the following pages,
would perhaps have got no farther than its long clothes. Minkowski's work is
doubtless difficult of access to anyone inexperienced in mathematics, but since
it is not necessary to have a very exact grasp of this work in order to
understand the fundamental ideas of either the special or the general theory of
relativity, I shall leave it here at present, and revert to it only towards the
end of Part 2.
[Minkowski's idea was a great step towards accepting mathematics as reality in
modern physics - and considering reasoning and common sense as of little value.
His construction is, undeniably, elegant, mathematically "beautiful" and very
powerful. But whether treating "imaginary time" as behaving just like length,
has anything to do with a valid model of the world we actually live in needs
serious consideration. PRS]
Footnotes
1) Cf. the somewhat more detailed discussion in
Appendix II.